一種薄板成形性試驗。用凸模把中心帶孔的試件壓入凹模,使試件中心孔擴大,直到板孔邊緣出現頸縮或裂紋為止。試驗結果用于評價金屬薄板的翻邊成形性。被剪切或沖裁以后的金屬薄板,在受沖剪的邊緣部位會有損傷和加工硬化產生,在后續的沖壓成形加工特別是拉伸變形時,這些部位會過早地產生裂紋而導致破壞。在一些高強鋼和硬鋁合金的加工中常有這種情況發生。因翻邊是一種最典型的變形方式,為此發展了擴孑L試驗。
擴孔試驗裝置如圖所示,主要由凸模1、凹模2和壓邊圈3組成。凸模上為易于試件對中常帶有定位銷4。凸模可以為平底,也可以為半球形。凹模與壓邊圈之間可以為平面,也可以帶有拉延筋。試驗用金屬薄板5中心預制圓孔,周邊被凹模與壓邊圈壓緊,以防止薄

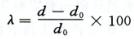
板突緣金屬流入凹模孔腔。凸模將帶孔試件壓入凹模,致使試件中心孔擴大。當孔的邊緣出現頸縮或裂紋時,停機卸載,測量此時試件中心孔的平均直徑,以其擴大量和原始孔徑的比值作為金屬薄板翻邊性能的評估指標,稱為擴孔率%26lambda;(%):
![]()
式中d為試件變形后中心孔的平均直徑;d0為原始孔徑。德國凱澤%26bull;威廉研究院(Kaiser Wilhelm Lnstitute)對試驗所用模具的尺寸和試樣有一系列的規定,凡按該規定所做的試驗,其最終結果%26lambda;值稱為K.W.I值。一般情況下,去除中心孔毛刺可大大增加擴孔率。該值還隨總延伸率和塑性應變比r值的增加而增加,隨抗拉強度的增加而下降。對金屬內部夾雜物施行形態控制有助于改善翻邊性能。
也有用90mm%26times;90ram的帶孔(%26phi;12mm)方板作為試件,用%26phi;40mm的凸模壓入,測量孔開始拉裂時的有關數據,以用下式計算的g值作為綜合評估成形性能指標
![]()
式中h為沖壓高度,dmax ,dmin分別為中心孔的最大與最小直徑。
備注:如果您覺得“擴孔試驗”資料對您有所幫助,您可以與您朋友分享一下!
(本平臺"常州精密鋼管博客網"的部分圖文來自網絡轉載,轉載目的在于傳遞更多技術信息。我們尊重原創,版權歸原作者所有,若未能找到作者和出處望請諒解,敬請聯系主編微信號:steel_tube,進行刪除或付稿費,多謝!)

