鋼管 管道阻力對揚程的影響及管損計算!
大家都知道,管道是一種固體物,水是容易流動的物質,如果管道內的水是流動的,必定有一部分能量轉化為熱能而“消滅”,也就是丟失了一部分水壓(或稱揚程),這是客觀事物的反映,是水流運動的必然規律。通常,我們將這種能量轉變的現象,稱之為能量損失(或稱水力損失、損失揚程)。它以米為計算單位。術論封面設計
管道圖

管道阻力對揚程的影響有多大?
有些用戶經過測量,雖然蓄水池或水塔到水源水面的垂直距離還略小于水泵揚程,但還是提水量小或提不上水。其原因常是管道太長、水管彎道多,水流在管道中阻力損失過大。一般情況下90度彎管比120度彎管阻力大,每一90度彎管揚程損失約0.5-1米,每20米管道的阻力可使揚程損失約1米。此外,有部分用戶還隨意更改水泵進、出管的管徑,這些對揚程也有一定的影響。那,管道阻力對揚程的影響究竟有多大呢?
一、是管壁粗糙的阻滯作用。
三、是管件內水流局部急劇變化形成的漩渦。管路(網)水力損失由沿程和局部兩部分組成。在工程上,我們必須要計算知道它的數量多少,才能正確地選用水泵,確定所需要的水泵揚程。管路沿程損失是發生在水流的全部流程上的摩擦阻力,它與管壁粗糙度、管長、管徑、流速等有關,根據水力學原理,可以建立它的關系式。
沿程損失與管壁粗糙度有關的沿程摩擦系數成正比關系,不同的管材其粗糙度不同,鑄鐵管比較粗糙,沿程摩擦系數就大些;塑料管比較光滑,沿程摩擦系數就小些。與管子長度成正比關系;與管徑成反比關系,就是說,當流量一定時,管徑小、流速快,則沿程損失大;還與流速的平方值成正比關系。當然計算比較繁瑣,簡單的方法可以估算。 管路局部損失是水流在管道中流過底閥、閥門、彎頭、異徑管等配件過程中,由于局部裝置使流型變化;流速方向和大小都改變,而且在流動中出現漩渦,使水流互相碰撞、沖擊。這種局部阻力而引起的水力損失叫做局部損失。

局部損失的大小與流過管道配件處的水流速度平方值成正比,同時,也與配件的形狀和數量有關。配件斷面形狀變化大,數量多,則局部損失就愈大。當管路布置方案確定以后,一般都要經過計算方法求得管路損失揚程,然后確定水泵站的設計揚程,才能進行水泵選型。但是計算程序比較復雜,為了簡便起見,計算資料可以編制成表格,以便查表求得。另外,也可以進行粗略估算:損失揚程相當于實際地形揚水高度(測量得知)30%~50%,管徑小、管路短取大值;管徑大、管路長取小值。
可利用現有軟件, 計算出管路沿程損失和管路局部損失, 如義維開發的的選型軟件系統, 以方便計算。

液體在直管中流動時的壓力損失是由液體流動時的摩擦引起的,稱之為沿程壓力損失,它主要取決于管路的長度、內徑、液體的流速和粘度等。液體的流態不同,沿程壓力損失也不同。液體在圓管中層流流動在液壓傳動中最為常見,因此,在設計液壓系統時,常希望管道中的液流保持層流流動的狀態。
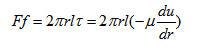
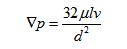
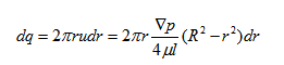
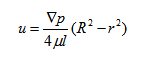
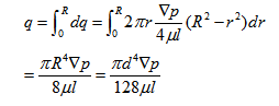
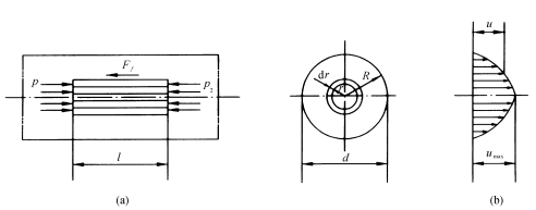
在液壓傳動中,液體的流動狀態多數是層流流動,在這種狀態下液體流經直管的壓力損失可以通過理論計算求得。如上圖所示,液體在直徑d的圓管中作層流運動,圓管水平放置,在管內取一段與管軸線重合的小圓柱體,設其半徑為r,長度為l。在這一小圓柱體上沿管軸方向的作用力有:左端壓力p1,右端壓力p2,圓柱面上的摩擦力為Ff。則其受力平衡方程式為:因為速度增量du與半徑增量dr符號相反,則在式中加一負號。由式可知管內流速u沿半徑方向按拋物線規律分布,最大流速在軸線上,其值為:圖(b)所示拋物體體積,是液體單位時間內流過通流截面的體積即流量。為計算其體積,可在半徑為r處取一層厚度為dr的微小圓環面積,通過此環形面積的流量為:(4)沿程壓力損失。層流狀態時,液體流經直管的沿程壓力損失可從式求得:由式可看出,層流狀態時,液體流經直管的壓力損失與動力粘度、管長、流速成正比,與管徑平方成反比。在實際計算壓力損失時,為了簡化計算,得μ=υdρ/Re,并把μ=υdρ/Re代入,且分子分母同乘以2g得:式中:λ為沿程阻力系數。它的理論值為λ=64/Re,而實際由于各種因素的影響,對光滑金屬管取λ=75/Re,對橡膠管取λ=80/Re。紊流時的壓力損失層流流動中各質點有沿軸向的規則運動。而無橫向運動。紊流的重要特性之一是液體各質點不再是有規則的軸向運動,而是在運動過程中互相滲混和脈動。這種極不規則的運動,引起質點間的碰撞,并形成旋渦,使紊流能量損失比層流大得多。由于紊流流動現象的復雜性,完全用理論方法加以研究至今,尚未獲得令人滿意的成果,故仍用實驗的方法加以研究,再輔以理論解釋,因而紊流狀態下液體流動的壓力損失仍用式來計算,式中的λ值不僅與雷諾數Re有關,而且與管壁表面粗糙度有關。局部壓力損失是液體流經閥口、彎管、通流截面變化等所引起的壓力損失。液流通過這些地方時,由于液流方向和速度均發生變化,形成旋渦,使液體的質點間相互撞擊,從而產生較大的能量損耗。
式中:為局部阻力系數,其值僅在液流流經突然擴大的截面時可以用理論推導方法求得,其他情況均須通過實驗來確定;為液體的平均流速,一般情況下指局部阻力下游處的流速。管路系統的總壓力損失等于所有沿程壓力損失和所有局部壓力損失之和,即:

(本平臺"常州精密鋼管博客網"的部分圖文來自網絡轉載,轉載目的在于傳遞更多技術信息。我們尊重原創,版權歸原作者所有,若未能找到作者和出處望請諒解,敬請聯系主編微信號:steel_tube,進行刪除或付稿費,多謝!)