橫截面為圓形的直桿受扭時的應力,需要綜合研究幾何、物理和靜力等三方面的關系。以下是我們研究的一個思路。

確定橫截面上切應力的方法與過程
在軸表面作圓周線和縱向線,在扭轉力偶矩作用下,圓周線長度形狀不變,各圓周線間距離不變,只是繞軸線轉了一個微小角度;縱向平行線仍然保持為直線且相互平行,只是傾斜了一個微小角度。變形如圖所示。


圓軸扭轉的平面假設:圓軸扭轉變形前原為平面的橫截面,變形后仍保持平面,形狀和大小不變,半徑仍保持直線,且相鄰兩截面間的距離不變。

這里需要注意,一定要在線彈性范圍內。接下來研究用到了切變模量、切應力互等定理、剪切胡克定律等知識。

1、變形協調方程推導應變、應力分布規律
設到軸線任意遠ρ 處的剪應變為γ(ρ),則有如下幾何關系:


式中,dφ/dx 為扭轉角沿長度方向變化率。

距圓心為ρ 任一點處的γρ、τρ 與到圓心的距離ρ 成正比。
2、物性關系——剪力胡克定律


至此,我們已經求出了切應力的表達式,但是扭轉角沿長度方向的變化率還不知道。這就需要靜力學方程來解決了。
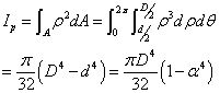
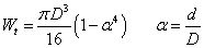
微分面積: dA 上的微內力對圓心的力矩: 對上式進行積分(扭矩定義): 橫截面上的扭矩應與截面一側的外力偶距相平衡 我們引入一個極慣性矩 式中,Ip 為橫截面對形心的極慣性矩(截面二次極矩,單位為m4)。 在圓截面邊緣上有最大切應力: 令 抗扭截面系數(單位:m3) 公式適用條件: 圓桿; τmax≤τp。 其中極慣性矩和抗扭截面系數,在實心軸與非實心軸中的計算是不一樣的。 在實心軸的情況下: 其中,D 為圓截面直徑。 以上就是完整的求圓軸扭轉時的應力的方法和過程了!



















