什么是硬度?
硬度,顧名思義,軟硬程度,就是材料抵抗變形或破壞的能力,是熱處理行業最常用的指標之一。它沒有確切的物理意義,是一個力學性能的綜合性指標,一般來說,材料的硬度越高,抗拉強度越高,耐磨性越好。
硬度的分類

幾種常用的硬度測試方法:
布氏硬度(HB)
將一定直徑的硬質合金球以一定的試驗力壓入被測材料表面,并保持規定的時間,卸載后測量表面壓痕的直徑,計算出布氏硬度值。計算公式如下:


圖1 布氏硬度測量原理圖
表示方法
標準表示方法包含信息:硬度值、測量方法、壓頭種類和直徑、載荷及保持時間。例如:500HBW1/10/20,表示用1mm的鎢質合金球壓頭在98.07N的壓力下保持20s后測定的布氏硬度值為500。若未標明載荷保持時間,表示10-15s。
注意點:
試樣表面平坦光滑,無氧化皮、油脂等污染物;
測量上限HB650
試樣厚度至少為壓痕深度的8倍,若試樣背面出現變形,說明試樣太薄;
淬火鋼壓頭在GB/T231.1-2002后已取消使用。
洛氏硬度(HR)
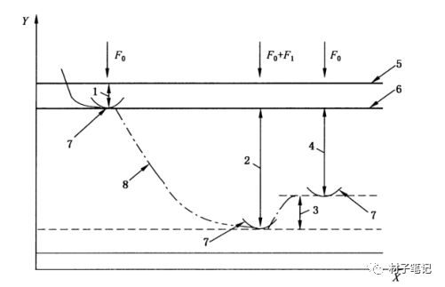
洛氏硬度通過測量壓痕塑性變形深度計算出硬度指標,通常,被測樣品表面較小或者HB>450時,采用洛氏硬度測量。測量范圍涵蓋常用的所有金屬材料,其計算方法為:將特定的壓頭按照規定分初試驗力(F0)和主試驗力(F1)兩次壓入試樣表面,初試驗力加載后,測量初始壓痕深度,主試驗力加載并保持一定時間后,卸載主試驗力并測量最終壓痕深度,通過如下計算公式得出HR。

其中,h——最終壓痕深度與初始壓痕深度之差;
N、S為常數,取值參考標準GB/T230.1。

圖2 洛氏硬度測量原理圖
其中,
X——時間;
Y——壓頭位置
1——初試驗力F0下的壓入深度;
2——主試驗力F1引起的壓入深度;
3——卸除F1后的壓入深度;
4——殘余壓痕深度h;
5——試樣表面;
6——測量基準面;
7——壓頭位置;
8——壓頭深度相對時間的曲線。
表示方法
標準表示方法包含信息:硬度值、測量方法、洛氏標尺、使用球形壓頭的類型。例如:80HR15TW,表示用碳化鎢合金球壓頭按照15T標尺測得洛氏硬度值為80;若未標明壓頭類型,則為金剛石圓錐型,如:62HRC,表示使用金剛石圓錐型壓頭按照C標尺測得洛氏硬度值為62。
注意點
試樣表面平坦光滑,無氧化皮、油脂等污染物;
需根據材料具體情況,選擇合適的測量標尺;
對于金剛石圓錐壓頭測試,試樣厚度至少為殘余壓痕深度的10倍;對于球壓頭測試,試樣厚度至少為殘余壓痕深度的15倍。背部不可有變形壓痕。
維氏硬度(HV)
維氏硬度是將特定的正四棱錐體金剛石壓頭用一定的試驗力壓入試樣表面,保持一定時間后,卸除力測量表面壓痕對角線長度計算出得出的硬度指標。根據測試試驗力的不同,可分為:維氏硬度(F≥49.03N)、小力值維氏硬度(1.961N≤F<49.3N)和顯微維氏硬度(0.09807N≤F<1.961N)。計算方法如下:

其中,d=(d1+d2)/2


圖3 維氏硬度壓痕及示意圖
注意點
試樣表面需拋光處理;
試樣厚度至少為壓痕對角線長度的1.5倍,背部不可有變形壓痕。
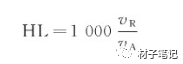
里氏硬度(HL)
常用的布、洛、維硬度計,由于體積較大,不便在現場使用,而里氏硬度計是一種便攜式硬度測試,受空間影響較小。它是用一定質量的沖擊體在一定彈簧彈力的作用下以一定速度垂直沖擊試件表面,這種沖擊力使被測材料表面產生了塑性變形,形成了一個壓痕,損失掉一部分動能(被測材料越柔軟,失去的動能越多),回彈至距試樣表面1mm處的回彈速度(vR)與沖擊速度(vA)的比值計算得出硬度指標。公式如下:

里氏硬度可以應用于多種零件,相對于肖氏硬度計,里氏硬度可在任意方向上測量,很大程度上方便了使用者。

圖4 里氏硬度計原理圖


