一、引言
鋼的淬透性是決定鋼淬火后的硬化深度及硬度分布情況的一種特性,鋼件的淬透深度是非常重要的材料和工藝設計參數,因此,淬透性通常是選擇熱處理零件用鋼的唯一的最重要因素。淬透性描述了鋼件馬氏體相變淬火硬化的能力,并且這種能力與奧氏體化溫度、奧氏體化之后的冷卻速度、零件尺寸和形狀等參數相關。淬透性也經常稱為所需淬冷烈度的逆向測量,該淬冷烈度能將在奧氏體化溫度下加熱的鋼淬火形成馬氏體組織,避免擴散相變組織(如 P 和 B)的產生。 淬透性是與鋼的化學成分相關的一個特性,它取決于含碳量和其他合金元素以及奧氏體相的晶粒度。人們已經發現了根據鋼的化學成分計算淬透性的方法。通過計算碳當量來確定各種合金元素的相對重要性和影響。計算淬透性的一個優點是,可以使用有限數量的試驗測量數據(根據末端淬火試驗程序以及晶粒度和化學成分數據)來預測各種鋼的淬透性。計算淬透性更實用的優勢是在熱處理工藝個性化方面具有潛力,為了適應特殊顧客要求的最終熱處理的硬度分布橫截面,可據以定制熱處理工藝。 本節介紹確定淺層硬度、低碳鋼、普通碳鋼、低合金中碳鋼的淬透性的預測方法。同時介紹淬透性的研究背景以及試驗測量與量化的實踐。給出各種試驗程序的概述,采用手工和計算機計算的方法確定和量化鋼的淬透性。包括經典的斷裂和腐蝕、格羅斯曼淬透性和末端淬火試驗。然后,以這些內容為背景,在各種淬透性計算的預測工具中使用淬透性的核心概念。
L. L. 米其秀(L. L. Meekisho) , 波特蘭州立大學連續冷卻轉變曲線(CCTs) 是理解和量化鋼的熱處理的核心。淬透性是熱處理實踐的普遍目標之一。它被定義為鋼鐵材料奧氏體化之后淬火獲得硬化的能力。大部分熱處理過程包括把鋼加熱到奧氏體化溫度范圍,然后按照能夠獲得目標相變產物的預定路徑進行冷卻。相變產物及其力學性能和工藝性能取決于冷卻速度。根據圖1,比較一種共析鋼在兩種不同冷卻速度時的情況。

▲圖1 共析鋼連續冷卻圖和等溫轉變圖之間的關系
圖中時間刻度是以對數為刻度的,使用對數刻度可以描繪數小時內冷卻時間的軌跡。也要注意接近 C 形狀的虛線曲線,它代表在等溫狀態下,珠光體轉變的開始和終了曲線。實線曲線表示連續冷卻條件下轉變開始和終了曲線。由CCTs 可知,珠光體轉變在較低的溫度下發生,并且與等溫轉變相比其時間有所延遲。 一種材料達到某一硬度的能力是與該種材料能夠達到的最高硬度相關聯的,它取決于這種材料的含碳量。嚴格地說,這里的含碳量是指奧氏體化過程中溶解在奧氏體相中的碳原子數量,因為這是在奧氏體向馬氏體轉變過程中發揮主導作用的碳。淬透性一詞是由克勞斯(Krauss) 定義的,它是指從上臨界點溫度(Ac1) , 即奧氏體化溫度下淬火時,鐵基合金形成馬氏體的相對能力。 在淬火期間,一定尺寸鋼件的表面冷卻速度預計將自然高于其心部冷卻速度。這些冷卻速度也和淬冷烈度成正比關系,或者說,與依次確定相變產物的冷卻過程的速度成正比關系。圖 2 所示,為一種共析鋼的不同的冷卻速度與顯微組織的對應關系。虛線描述了對應于臨界冷卻速度的冷卻路徑。比臨界冷卻速度快(如虛線的左邊)時將產生馬氏體組織,比臨界冷卻速度慢時則會產生含有一定量的珠光體的組織。

▲圖2 共析鋼的冷卻速度于顯微組織的對應關系
臨界冷卻速度和圓棒臨界直徑的理論概念和實際含義已經經過大量試驗研究并被廣泛記載。這些都是復雜的交叉學科問題,這使得它們自然適合實施預測/建模的方法,后文中將進行討論。例如,確定50%馬氏體和50%珠光體組織分布深度的研究,這一組織分布受幾個因素的影響,包括鋼的化學成分、奧氏體晶粒度,淬冷烈度及圓棒直徑等。如圖3 所示,一根Φ25mm (Φ1in) 圓棒的中間有一個獨特的50%馬氏體和50%珠光體組織分布,更高的馬氏體含量趨向表面。這個直徑稱為臨界直徑。相同的淬火條件下,由同種鋼材制成的圓棒,直徑較小的將在整個橫截面上得到高硬度的馬氏體組織;當對較大直徑的圓棒進行類似處理時,則會得到軟的珠光體心部和硬的馬氏體表面。參見圖3 ,這種鋼具有合適的淬透性,因為它的臨界直徑為25mm (1in) 。如果按要求添加合金元素,則可以提高淬透性水平,并可相應地增加臨界直徑。

▲圖3 一系列不同直徑圓棒在相同
位置橫截面的洛氏硬度分布示意圖
可以根據鋼的臨界直徑 DI 來測量鋼的淬透性,但該方法受熱量向外傳遞的速度影響,這與所用的淬火系統有關。為了建立統一的淬火參考標準,在淬透性測量方面,熱處理實踐普遍采用一種標準的冷卻介質。這個標準通常稱為理想淬火,它使用的是一種假想的淬火冷卻介質,假設這種淬火冷卻介質能夠把鋼的表面溫度冷卻到浴液的溫度并保持該溫度。理想淬火條件下鋼的臨界直徑稱為理想臨界直徑(記作DI 或者DI) 。典型淬火狀態的淬冷烈度(H) 見表 1 。

幾種淬冷烈度(H ) 的臨界直徑(D ) 與理想臨界直徑(DI ) 與冷卻速度(H ) 的關系如圖4所示。圖4 為計算淬透性的建模,提供一個良好的共性基準。
三、鋼淬透性的建模方法
鋼的淬透性是含碳量、其他合金元素以及奧氏體晶粒度的一個函數。各種合金元素的相對重要性和影響是通過確定鋼的碳當量來計算的。通常,含碳量越高,淬透性越高。合金元素,如Ni、Mn、Cr、Mo趨向于增加淬硬深度。 如上所述,淬透性也常常被稱為淬冷烈度的逆向測量。因此,淬透性(鋼的化學成分)在確定產生馬氏體組織的臨界冷卻速度中起關鍵作用。所使用的淬火冷卻介質直接影響冷卻速度,因為熱傳導和比熱容取決于含碳量和其他合金元素。液體如鹽水和水,比空氣和油有更高的冷卻速度。另外,當流體受到攪拌時,它的冷卻速度增加得十分顯著。淬火零件的幾何尺寸也影響冷卻速度,例如,對于兩個體積相同的試樣,具有較大表面積的試樣冷卻得較快。這個概念可以延伸到同時淬火的一批零件上,可以推測:同時一起淬火的零件越少,實現均勻淬火的可能性越大。 鐵基合金淬透性的測量通常采用末端淬火試驗:將一根標準尺寸的金屬圓棒(ASTM A255) 放入爐中加熱到100%奧氏體化,然后迅速將其轉移到一個末端淬火槽中,使用室溫的水對圓棒一端淬火。一種典型的末端淬火淬透性測量裝置如圖 5 所示。淬火端的冷卻速度必定最高,越靠近暴露在室溫空氣中的另一端,其冷卻速度越慢。沿著圓棒長度方向以1. 6mm (1/16in) 為間隔測量硬度,然后確定淬透性,可以推測:可淬硬部分距離淬火端越遠,合金的淬透性就越高。已有大量文獻記載了通過試驗以及計算機計算建模所做的淬透性研究。

▲圖5 典型的末端淬火實驗裝置
進行淬透性的量化預測時必須注意:即使末端淬火試驗程序和數據抽樣是依據 ASTM 標準進行的,硬度和深度之間也有明顯的差距。如圖6所示,為相同晶粒度的SAE 8620鋼在不同實驗室得到的末端淬火淬透性結果。試驗設備、環境不同,以及把試樣轉移到試驗裝置上的操作者的效率不同,都會對數據的分散性造成影響。
4140鋼也有類似趨勢的記錄。這種差異在文獻中被廣泛報道,可能是由于錯誤地報道了原本正確的鋼的化學成分,粗心大意和試驗步驟錯誤,或者過程控制錯誤。從末端淬火曲線中提取的淬透性數據與 CCT 曲線和 IT 曲線密切相關。CCT 曲線和 IT 曲線是冶金學的核心知識。使用不同的冷卻速度得到的顯微組織確定未端淬火試樣的硬度分布、這些顯微組織可以從 CCT 曲線和 IT 曲線坐標軸的相同位置疊加得到、如圖7所示。這種典型的結構形式對預測任意形狀零件的力學性能的分布趨勢有很大的幫助。 預測鋼的淬透性是一個復雜的過程,需要量化相當復雜的瞬態熱溫度場,設計跨學科的方法,可以明了該溫度場驅動微觀結構的發展、力學響應和相變行為。 某些文獻中介紹了一些在不同程度上成功預測合金鋼淬透性的實施模型。格羅斯曼的淬透性系數在很長一段時間內都是實際操作中的標準。隨后,柯卡爾迪(Kirkaldy) 消除了格羅斯曼模型的幾個缺點,并且到目前為止,它仍作為對淬透性模型進行比較的基準。 為了解決合金鋼的淬透性建模的困難,有限元分析(FEA ) 技術已經被許多研究者所接受,作為一種普遍工具。有人開發了一種計算機模型來預測鋼的淬透性。這個模型能夠預測可進行熱處理的鋼的末端淬火圓棒的硬度分布,通過與一個熱力學模型相結合的模式,來計算多組分 Fe-C-M 系統中的相平衡,模擬末端淬火圓棒的傳熱有限元模型,以及奧氏體分解反應動力學模型。該過程需要使用幾個子程序,被納入一個商業開發的有限元程序,即ABAQUS。該研究得出結論,參考模型與柯卡爾迪(Kirkaldy) 的研究工作相符,而且對其研究進行了一些改進,并提高了可靠性。 馬利克澤迪(Malikizadi) 依靠商業計算軟件MATLAB應用有限元分析來模擬粉末冶金鋼的冷卻行為和組織轉變。其工作的顯著成就在于對預測的淬透性行為與完善的試驗基準進行了比較。 賈斯特(Just) 利用平均含碳量與合金鋼成分之間的關系來開發計算淬透性曲線方程。為了完成這個預測建模工具,賈斯特采用多元回歸分析確定在一段時間內單個合金元素變化的影響,同時內保持其他變量不變。但這種方法顯然不能可靠地實現淬透性的精確預測。作者建議,這種方法的作用主要是協助合金設計人員選擇一個特定應用的鋼種,以及協助冶金學家用多種方法來微調熔體。通過這種方法預測硬度(HRC) 的實例如下:J1=52 (%C) +1. 4 (%Cr) +1. 9 (%Mn) +33HRC J6=89 (%C) +23 (%Cr) +7. 4 (%Ni) +24 (%Mn)+34 (%Mo) +4. 5 (%Si) -30HRCJ22=74 (%C) +18 (%Cr) +5. 2 (%Ni) +16 (%Mn)+21 (%V) +4. 5 (%Si) -29HRC式中下標號1、6 和 22在方程中表示1/16in、6/16in和22/16in 的末端淬火距離。在后續的研究中,賈斯特改善了適應鋼的化學成分的非線性行為,鋼的化學成分的試驗表明,隨著合金元素含量的增加,其對淬透性的影響將降低。 賈斯特(Jast)的淬透性預測結果與各種標準的 SAE 牌號的鋼的測量結果一致性很好。其他研究人員介紹了多元回歸算法的應用。西伯特(Siebert) 等人提出了一個程序。首先建立沿著末端淬火圓棒不同位置的冷卻速度,然后轉變時間軸,如“零”時間對應Ae溫度。對應的冷卻速度曲線便可與適當的 CCT 開始曲線相關。臨界冷卻速度位于硬度開始下降的這一點。把每一個冷卻速度相關的珠光體的體積分數轉化為馬氏體的質量分數,然后轉換為相對應的硬度,如圖8 所示,為對 SAE 4068 鋼應用該程序所得的研究結果,值得注意的是,在0~50%馬氏體含量范圍內,ASTM 晶粒度為4~12, 其試驗結果(虛線)與預測結果取得了很好的一致。 薩米恩托(Sarmiento) 等人應用幾種數據預測工具來改善SAE J406鋼淬透性的預測結果。為了完成對淬透性預測的改進,他們使用了 INC-PHATRAN和 INDUCTER-B程序,這些程序是為熱處理工藝建模而研發的,充分改善鋼的淬透性試樣中硬度分布的預測結果。硬度預測結果起初沒有其他已經建立的預測工具那么成功,如CAT、STECAL, AMAX 和Minitech (卡特、斯迪克、安邁信和敏馳科技)。之后,他們對預測數據運用了最小二乘法擬合程序。結果是SAE J406顯著提高了淬透性的預測準確性。實際上,改進的SAEJ406的預測方法導致形成了 J 曲線。對于多種不同的鋼材,J406預測的結果和試驗測定結果之間保持了正確的曲線軌跡。 利用計算機技術,如數據采集系統和軟件,大大提高了鋼淬透性預測計算的實用性和可靠性。一些商業軟件,如 Minitech Predictor 可在公共領域使用。Minitech的典型輸入數據為末端淬火硬度、化學成分和估計的晶粒度,它預測的連結計算數據點所得的硬度曲線與典型的末端淬火距離的初始曲線之間有一定距離,如圖9 a) 所示。這清楚地表明,在測量結果和預測結果之間存在一個顯著的差異。為了提高數字處理的可靠性,以迭代的方式調整有效含碳量和晶粒度,以最大限度地減小試驗數據的加權均方根偏差。最終預測的數據點分布與試驗數據曲線如圖9 b)所示。 利用 Minitech 的計算機輔助計算技術。完全可以用計算末端淬火曲線來代替試驗測量末端淬火曲線。對鋼件進行熱處理時,如果對它做試驗很困難或者幾乎不可能做試驗,如SAE 8620H 鋼,則計算末端浮火曲線是一種很具潛力的工具。 在精煉冶煉過程中,對淬透性可靠預測的實際應用很多。例如,用戶希望鋼的末端淬火硬度軌跡有三個特定的點在 SAE 8620H 鋼的 H 淬透帶內,如圖 10 a) 所示。借助于 Minitech 計算,在最終加熱時,用戶的技術要求如圖10 b)所示。a) 用戶要求淬透性在SAE8620H 的H 帶之內 布魯克斯(Brooks) 介紹了一種類似于西伯特等人的分析方法,它相當于更為完善的賈斯特的原始回歸分析。作為化學成分的函數的不同末端淬火距離處的硬度的布魯克斯方程見表2 。

元素符號旁的數字代表該元素的質量分數。晶粒度沒有包括在布魯克斯的回歸分析中。但是,要求晶粒度的范圍是 ASTM 8~12級; 化學成分范圍見表 3 。

利用神經網絡模擬鋼的淬透性是另一種建模工具,它在研究淬透性計算的文獻中已經有一定數量的報道。多布蘭斯基(Dobranski) 等人依據鋼的化學成分研發了預測鋼的淬透性的一種建模技術。他們的工作是基于多層前饋神經網絡,該網絡的學習規則是基于誤差傳播算法。他們的技術包括 500 多個神經網絡,具有不同數量的隱藏層和隱藏神經元。該技術使用大的迭代次數(100~10000) , 從而產生了一個強大的建模工具,可成功地預測多種鋼的淬透性,以及各種滲碳鋼的淬透性。 合金鋼的淬透性是指奧氏體組織淬火時合金轉變成馬氏體的相對能力。它通常是對在給定鋼的表面以下能夠通過淬火獲得規定硬度處進行測量所得的深度,如達到 50HRC 或者得到一種規定的顯微組織,如50%馬氏體和50%其他轉變產物。淬透性受到奧氏體晶粒度、含碳量和合金元素含量的影響。 卡特彼勒淬透性計算器(1E0024) 是一款個人計算機程序,它可以根據鋼的化學成分計算末端淬火曲線。這種計算器的使用方法是基于鋼的化學成分對應的理想臨界直徑(DI ) 來進行估算,采用格羅斯曼定義淬透性的方法。當進行理想淬火(如格羅斯曼淬冷烈度H=∞)時,DI 代表心部淬火能達到50%馬氏體的鋼棒直徑。H=∞ 是一個假設的淬冷烈度,在該 H 值下,淬火圓棒的表面溫度瞬間降至淬火冷卻介質的溫度。 卡特彼勒改進了使用軋鋼廠爐號數據的格羅斯曼碳淬透性系數。它使用硼系數,該系數是含碳量和合金含量的函數,提高了DI 的計算精度,用硼鋼和非硼鋼的分離系數來描述淬透性曲線的固有形狀差別。這一精度上的提高是分析了成千上萬爐號的硼鋼和非硼鋼的結果,如 AISI 15xx、41xx、50xx 和 86xx 系列鋼。隨著硼鋼合金系數達到26, 當理想直徑DI 為=25~177. 5mm (1. 0~7. 0in) 時,計算結果是有效的,化學成分范圍見表4。
▼表4 在卡特彼勒淬透性計算器
中使用的化學成分范圍
1E0024的預測結果可以用在低、中碳鋼中。假設奧氏體晶粒度是 ASTM 7, 因為軋鋼廠爐號中符合這個晶粒度的百分比高。出于設計目的,僅僅在DI 、合金系數以及前述化學成分范圍之內,計算的理想臨界直徑(DI ) 和末端淬火淬透性曲線是有效的。為了估計高合金鋼的淬透性,可使用淬透性乘積系數來計算表 5 所列化學成分范圍內的理想臨界直徑(DI ) 。 計算 DI 的方法和卡特彼勒淬透性計算器的末端淬火曲線類似于SAE J406和ASTM A 255-10中描述的程序。卡特彼勒淬透性計算器也允許對兩種成分鋼的淬透性預測進行比較,并可顯示和打印計算結果和末端淬透性曲線的分布,程序輸入和輸出屏幕見圖11 。


▲圖11 卡特彼勒淬透性計算器輸入輸出屏幕截圖
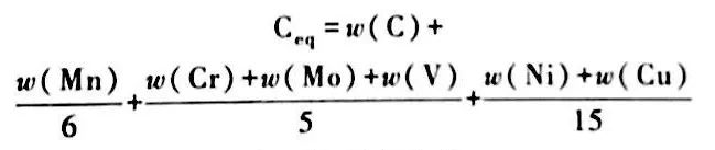
下面以8645鋼和 86B45 鋼為例,介紹硼鋼和非硼鋼理想臨界直徑DI 的計算方法。除了DI 、合金系數和硼鋼系數之外,也通過下列方程計算碳當量(Ceq) ,它對于鋼的焊接性是一個重要的影響因素。

格羅斯曼首先介紹了已知鋼的化學成分和奧氏體晶粒度,考慮碳和其他合金元素的影響,計算 DI 的詳細方法。他確定了單個合金元素對淬透性的影響,并且表達了作為取決于合金元素含量的一個系數的影響。之后,用普通碳素鋼的DI 與每個合金元素系數相乘來預測合金鋼的DI 。 在卡特皮勒淬透性計算器中,除了碳,所有合金元素的系數合并為一個單一系數,定義為合金系數(AF )AF=fMn·fSi·fNi·fCu·fV·fZr (1 )式中,fx,是用下角標“x”表示的單個合金元素的系數。 表6 中的方程用來估算合金鋼中單個合金元素的淬透性系數,它是合金元素對應的質量分數的函數(其中,wi是合金元素 i 的質量分數)。表 7 是合金元素的淬透性系數。


表 8 中合金元素的淬透性系數的合金元素質量分數的函數。



六、硼鋼 DI 的計算
低合金鋼中,即使存在質量分數很小(如0. 001%) 的硼,也會阻礙先析出鐵素體和珠光體的形成,從而影響鋼的淬透性。含碳量和合金元素的含量影響硼的作用,隨著碳和合金元素含量的增加,硼的效果減弱。
fB=DI 按端淬數據和含糖量測量/DI 按不含硼計算 (3)
在IE0024中硼系數被定義為合金系數和含碳量的函數。合金系數定義為鋼中所有合金元素,包括硼等的淬透性系數的綜合結果,見式(1 ) 。從眾多的硼鋼和類似成分的非硼鋼末端淬火數據的非線性回歸分析中,開發了一組五次多項式方程,見表 9。當給定合金成分的估計合金系數落在兩個列出的合金系數之間時,用線性插值來計算硼系數。硼鋼臨界理想直徑Dtbns 的計算公式為:
DIbase=DI按不含硼計算·fB (4 )
碳的質量分數和合金系數對應的硼系數見表10 。
▼表9 硼系數計算公式

▼表10 與碳的質量分數和合金系數對應的硼系數

七、根據成分估計末端淬火曲線
可以根據 DI 計算合金鋼的末端淬火曲線。依據試驗確定的末端淬火曲線,已經建立了初始硬度(IH), 末端淬火試樣上不同端淬距離處的硬度(表示為距離硬度 DH) 和理想臨界直徑(DI ) 之間的相互關系。 初始硬度 IH對應于末端淬火試樣距離淬火端1. 6mm (1/16in) 的位置,假設這里的顯微組織是100%馬氏體,并且IH (HRC) 是含碳量的函數,其計算公式為:
(5)
對應于50%馬氏體的硬度 MH (HRC) 的計算公式為:
(6)
碳的質量分數對應的 IH (100%馬氏體)和 MH (50%馬氏體)見表11。
▼表11 碳含量對應的IH和50%馬氏體硬度 DH

50%馬氏體的末端淬火距離和D, 之間的關系為:
(7)
(8)
式中,x是1/16in的J位置,式(7 ) 采用英制單位(in) , 式(8 ) 采用國際公制單位(mm) 。式(4 ) 和式(7 ) [或者式(8 )]可以借助測量的末端淬火數據來估算實際生產中的硼系數。在ASTM A255-10中給出了具體的估算程序。
端淬距離硬度 DH 的計算公式為:
(9)
式中,DF 是比例系數,是理想臨界直徑DI 的函數;下標 Jx, 是末端淬火位置。在英制單位中,“x”表示x/16in。如2,即為2/16in。定義硼鋼和非硼鋼之間關系的多項式方程見表12~表15。在表16~19中列出了一系列計算數據。
八、非硼鋼(8645鋼)計算實例
這里給出了非硼鋼 SAE 8645 鋼的D, 和淬透性曲線的計算,來說明一些表格和公式的使用方法。計算DI 時需要用到的淬透性系數見表20 理想臨界直徑的計算公式為:
DI =0. 22×3. 5×1. 105×1. 145×1. 865×1. 45in=2. 639in (67. 03mm)
估算淬透性曲線,表11 中碳的質量分數為0. 34%的鋼,J=1/16in (1.6mm) 處的初始硬度(IH ) 是58HRC。其他末端淬火距離的硬度(或者距離硬度 DH ) 是用 IH 除以相應的 DH (IH/DH)或者表16 (in) 或表17 (mm) 中的非硼鋼比例系數確定的,見表21 和表22。注意:使用這些表格中的數據時,DI 應該精確到 0.1in (2. 5mm),對于DI =2. 6in (67. 5mm) , IH=58HRC。
對于硼鋼 86B45, DI 和粹透性曲線的計算與 SAE 8645 鋼實例不同。對于86B45鋼DI 的計算,來自表1-30中的淬透性系數,見表1-45.D1無硼=0. 22×3. 5×1. 105×1. 145×1. 865×1. 45in=2. 639in (67. 03mm) AF=3. 5×1. 105×1. 145×1. 3864×1. 45 =12在表 10 中,對應于碳的質量分數為 0. 43%,合金系數為12, 待定硼系數(f B)在對應于AF=11和AF=13的硼系數為1. 71~1. 59, 采用線性內插法確定為1. 65, 即

因此,理想的臨界直徑是:
DI B =DI·fB=2. 639×1. 65
DI B =4. 35in (110. 5mm) ~4. 4in (110mm)
為了估算淬透性曲線,表11 中碳的質量分數為0. 43%鋼,在J=1/16in (1. 6mm) 處的初始硬度(IH) 是58HRC (類似于8645鋼)。其他末端淬火部位的硬度(或者距離硬度 DH) 由IH除以 IH/DH或者表1-40 (in) 、表1-41 (mm) 中的硼鋼比例系
數確定,見表18 和表25。注意:使用表格中的數據時,DI 應該精確到0.1in (2. 5mm) .對于DI =4. 4in (110. 0mm) , IH=58HRC。
附:計算用表
▼表12 非硼鋼距離硬度的比例系數

▼表13 硼鋼距離硬度的比例系數(DFB)


▼表14 非硼鋼距離硬度的比例系數(DF)

▼表15 硼鋼距離硬度的比例系數(DFB)








▼表19 非硼鋼中臨界直徑(DI)(mm)



▼表21 末端淬火距離硬度之一

▼表22 末端淬火距離硬度之二


▼表24 硼鋼的距離硬度之一

▼表25 硼鋼的距離硬度之二

相關文章:
如何確定滲碳、碳氮共滲熱處理工藝過程中的排氣時間?
淬透性計算方法(預測方法)
(本平臺"常州精密鋼管博客網"的部分圖文來自網絡轉載,轉載目的在于傳遞更多技術信息。我們尊重原創,版權歸原作者所有,若未能找到作者和出處望請諒解,敬請聯系主編微信號:steel_tube,進行刪除或付稿費,多謝!)